稀科斯(上海)金属材料有限公司成立于 2021 年,是一家深耕高端金属材料领域的创新型企业,专注于锆铪相关系列产品及稀土全元素氧化物的研发、生产与销售,致力于为科研与产业领域提供高品质材料解决方案。
公司构建了 “双基地 + 强研发” 的核心运营模式:稀土分离生产基地选址稀土产业核心区江西赣州龙南,依托当地丰富的稀土资源与成熟产业配套,实现从原料提纯到成品加工的标准化生产;锆铪产品研发与生产基地扎根广州专业实验室,汇聚行业资深技术人才,配备先进检测与制备设备,确保产品在纯度、性能等方面达到行业顶尖水平。
核心服务群体覆盖全国多所高校科研实验室、科研院所及下游高端制造企业,凭借顶尖的技术团队与灵活的定制化服务能力,可针对客户特定科研需求或产业化应用场景,精准调配材料成分、优化产品规格与性能参数,为科研突破与产业升级提供高效、可靠的材料支撑。
公司构建了 “双基地 + 强研发” 的核心运营模式:稀土分离生产基地选址稀土产业核心区江西赣州龙南,依托当地丰富的稀土资源与成熟产业配套,实现从原料提纯到成品加工的标准化生产;锆铪产品研发与生产基地扎根广州专业实验室,汇聚行业资深技术人才,配备先进检测与制备设备,确保产品在纯度、性能等方面达到行业顶尖水平。
陶瓷质子膜燃料电池和电解池是未来氢能经济的关键技术,能够在300至600摄氏度的中温区提供高效能量转换和电化学合成。陶瓷质子膜是…
发布日期: 2026-03-09
一、背景本标准适用于以高纯氧化镱(Yb2O3)、氧化钆(Gd2O3)及氧化锆(ZrO2)或氧化铪(HfO₂)为基础原料,通过共沉淀法、溶胶-凝胶法等…
发布日期: 2026-01-13
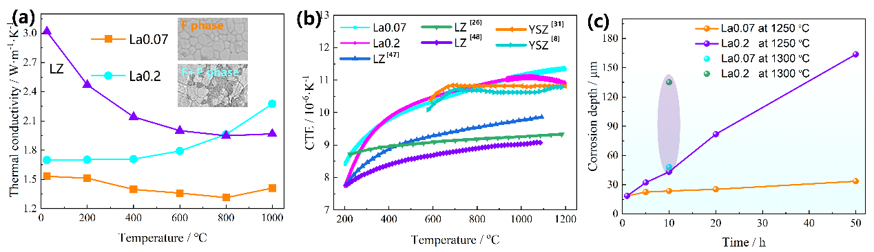
引言 热障涂层 (TBC) 是一种陶瓷涂层,沉积在基体表面起到隔热作用以确保基体在高温下工作。用6~8 wt.%氧化钇稳定的氧化锆 (YSZ…
发布日期: 2026-01-13
镍(Ni)对氢气电极具有重要的催化特性,但当其加入到像BaZr₀.₈Yb₀.₂O₃−δ这样的质子导电陶瓷电解质中时,会降低其水合作用…
发布日期: 2026-01-12
固体氧化物电池 研究背景离子传导是固态电池、固体氧化物燃料电池、电解池等高效率固态能源器件中的关键过程,提高离子电导率是上…
发布日期: 2026-01-12
相关研究背景磁光材料作为磁光器件的关键组成部分,基于其非互易性在激光、光通讯、光纤传感等领域发挥着不可替代的作用,被广泛应…
发布日期: 2026-01-09
1.企业资本动态:凯盛科技涨停纳米氧化锆供货新能源巨头金融界今日报道:截至今日9时35分,凯盛科技涨停,最新价12.43元,总市值1…
发布日期: 2025-12-31
1. 企业资本动态:东方锆业获百亿融资 加码半导体级氧化铪产能金融界 12 月 30 日报道:东方锆业今日发布公告,完成 12 亿元定向增…
发布日期: 2025-12-31
1. 企业产能布局:三祥新材控股子公司投建锆铪分离项目,氧化铪产能将突破250吨/年行业快讯12月28日报道:三祥新材控股子公司辽宁…
发布日期: 2025-12-31
1.企业产能布局:威拉里投建绿色循环金属粉末厂房含氧化锆配套抖音12月27日报道:威拉里在徐州经开区启动金属粉末生产及循环回收配…
发布日期: 2025-12-31
1. 半导体应用突破:氧化铪锆复合膜支撑先进2D晶体管研发科技日报今日深度解析:纳米氧化铪凭借高介电常数、优异铁电性能及CMOS兼…
发布日期: 2025-12-30
1.半导体应用突破:氧化锆陶瓷支撑3nm芯片制程量产手机搜狐网今日深度解析:氧化锆陶瓷凭借纳米级精度、极端环境耐受性与零污染特…
发布日期: 2025-12-30版权所有 © 稀科斯(上海)金属材料有限公司 备案号:沪ICP备2025153663号-1
技术支持:众云商网络